SHAP 표준화 데이터셋
계층적 클러스터링
XAI
SHAP
summary plot
설명가능 AI
SHAP value
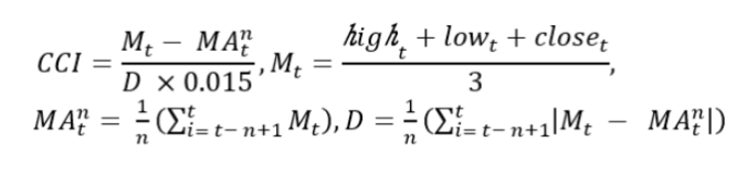
CCI
XGBoost
시가, 저가, 고가, 종가, 거래량, 변화율